
The Shroud of Turin, a 14-foot linen cloth bearing a faint, bloodstained image of a crucified man. It has captivated believers and puzzled skeptics for centuries. Many consider it the burial cloth of Jesus Christ, yet its authenticity fuels heated debate between science and faith. A 2022 X-ray dating study indicates the Shroud is approximately 2,000 years old, aligning with the crucifixion era. A $1 million challenge to replicate its enigmatic image underscores its mystery. These developments invite exploration of history, science, and belief, unveiling a truth that bridges the ancient and the eternal.
X-Ray Dating Rewrites the Shroud’s History
The Shroud of Turin’s story intertwines centuries of veneration with rigorous scientific scrutiny. In 1988, the British Museum oversaw a carbon-14 test that dated the Shroud to 1260–1390 CE, declaring it a medieval forgery. Critics swiftly highlighted methodological flaws, including potential carbon contamination and statistical inconsistencies. The raw data, withheld until 2017 after legal action, revealed unreliable results, casting doubt on the medieval conclusion.

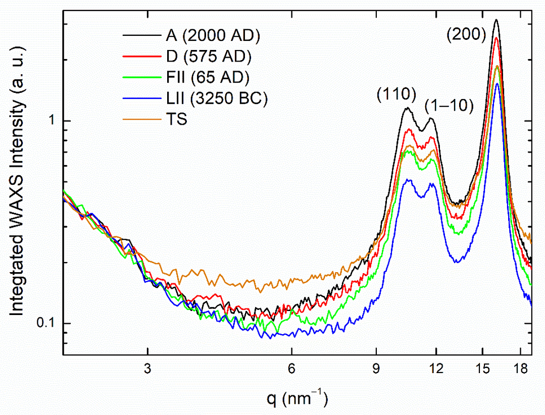
A groundbreaking 2022 study published in Heritage, conducted by researchers from Italy’s Istituto di Cristallografia and the University of Padova, employed Wide-Angle X-ray Scattering (WAXS) to analyze a 0.5 mm × 1 mm thread from the Shroud, taken near the 1988 radiocarbon sample area.
This technique measures cellulose degradation in linen, assessing structural changes to determine age. The results were striking: the Shroud’s cellulose degradation matched that of a linen sample from the Siege of Masada (55–74 CE). Suggesting an age of about 2,000 years, consistent with Jesus’ crucifixion around 30–33 CE.
Environmental Factors and Historical Constraints

The study accounted for environmental influences like temperature and humidity, which affect cellulose aging. For the Shroud to be only 700 years old, as the 1988 test claimed, it would have needed to endure extreme secular temperatures.
Comparable to Mali’s climate (27.8°C average in 1901–1930), for its entire existence. Yet, historical records document the Shroud in Europe for seven centuries. Including France and Turin, Italy, where the average temperature is 12.5°C and relative humidity is 75%. Such conditions would significantly slow cellulose degradation.
To achieve the observed degradation, the Shroud likely existed for an additional 13 centuries in a region with 20.0–22.5°C temperatures and 55–75% humidity. Conditions typical of the Middle East during the first millennium. The researchers noted that relative humidity impacts degradation rates, with a 75% humidity level (as in Turin) increasing the rate by 50% compared to 50% humidity. This adjustment aligns with the Shroud’s preservation in varied climates, supporting its first-century origin. Other methods, including Fourier Transform Infrared spectroscopy (300 BC ± 400 years), Raman spectroscopy (200 BC ± 500 years), and mechanical analysis (400 AD ± 400 years), corroborate this ancient dating, reinforcing the X-ray findings.
The Shroud in Jerusalem’s Sacred Landscape
The Shroud of Turin’s potential first-century origin places it within Jerusalem’s historical and sacred context. Recent excavations by the Israel Antiquities Authority beneath the Church of the Holy Sepulchre uncovered a garden from the Second Temple period (516 BCE–70 CE). This discovery confirms the Gospel of John’s description (19:41) of a garden near Jesus’ tomb. Which was cultivated with herbs or shrubs and surrounding rock-hewn tombs, one possibly Christ’s burial site.
The garden’s existence, dated to the time of Jesus’ death, aligns with the Shroud’s proposed age. Painting a vivid picture of first-century Jerusalem where sacred events unfolded in cultivated spaces. The Shroud of Turin, would have been part of this landscape, serving as a burial cloth woven from local flax. Its unique image, however, elevates it beyond a typical linen. Linking the physical and spiritual realms in a setting where life and death intertwined. This convergence of archaeology and scripture grounds the Shroud in a tangible past. Offering a tactile connection to a pivotal moment in history.
Think it’s Fake? There’s a Million Bucks to Prove it
The Shroud of Turin’s image, a photonegative-like depiction of a crucified man, defies conventional explanation. If medieval, as the 1988 test suggested, it implies an artist of extraordinary skill. The image, faint and sepia-toned, displays wounds consistent with Roman crucifixion, with human bloodstains aligning precisely. Microscopic analysis reveals no pigments or artistic media, and the image penetrates only the topmost fibers. A characteristic unknown to medieval techniques. In 1978, the Shroud of Turin Research Project (STURP), comprising over 30 scientists, concluded it “was not the product of an artist”. Suggesting an origin beyond human capability.
British filmmaker David Rolfe launched a $1 million challenge in his 2022 documentary Who Can He Be?, daring anyone to replicate the Shroud of Turin’s image using only medieval technology. Initially offered to the British Museum, which has not responded, the challenge expanded to the United States in February 2024. Announced at a press conference in Washington, D.C., alongside the National Shroud of Turin Exhibit (NSTE). It invites individuals, organizations, or institutions to recreate the image’s superficiality, photonegative quality. Along with bloodstain integration using tools and materials available before 1390 CE. Full details are available on the Who Can He Be? challenge website.
Testing the Shroud’s Authenticity
The challenge tests a critical question: if the Shroud is a forgery, replication should be possible, albeit difficult. Centuries of attempts, from painting to scorching, have failed to produce a convincing duplicate. Myra Kahn Adams, NSTE’s Executive Director, frames it as a question of identity. The “Who Can He Be?” The challenge complements the X-ray findings. Suggesting the Shroud of Turin’s image may surpass medieval or even human capabilities. Performco Ltd. underwrites the challenge, with independent judges evaluating submissions, and the NSTE promotes it without hosting or funding responsibilities.
The Shroud’s Enduring Mystery

The Shroud of Turin transcends its status as a relic, posing profound questions through its threads of history, science, and faith. The 2022 X-ray study challenges the 1988 carbon-14 dating, proposing a first-century CE origin. The $1 million challenge dares the world to replicate an image that resists explanation. These efforts reposition the Shroud of Turin as a credible ancient artifact, moving it beyond the label of a medieval forgery.
The Shroud’s power lies in its ability to provoke. For believers, it serves as a testament to the resurrection, its image a subtle trace of divine mystery. For skeptics, it demands answers, its anomalies resisting straightforward solutions. The X-ray data, with precise measurements of cellulose degradation, and the challenge, calling for replication, underscore the Shroud of Turin’s status as a profound enigma. Like the garden beneath the Holy Sepulchre, it offers glimpses of a distant world, embodying soil and sacrifice, preserved through centuries of care and chance.
